近期,华东师大化学与分子工程学院徐林教授课题组在复杂体系精准组装领域取得系列重要研究进展。相关研究成果分别发表于化学学科顶级期刊《美国化学会志》(J. Am. Chem. Soc., 2020, 142, 6285; J. Am. Chem. Soc.2020, DOI: 10.1021/jacs.0c03798)和《德国应用化学》(Angew. Chem. Int. Ed., 2020, 59, 7435)。其中,发表在《德国应用化学》上的论文被选为VIP文章。
在前期研究工作的基础上,徐林教授课题组通过合理的分子设计,利用配位键导向自组装策略,成功构筑了两类分立的复杂超分子金属大环,其大环外侧分别含有12个和18个C5长链基元,分子量分别高达10607 Da和15779 Da(图1)。

图1. 通过配位键导向自组装构筑超分子金属大环
由于大环外侧含有丰富的长链基元,该类超分子金属大环展现出良好的液晶性质。更为重要的是,由于组装体系的精准构筑,大环外侧的长链基元规则且定向排列分布,赋予了这类液晶金属大环具有多色全息图像存储的性质和功能(图2)。这是首例应用于多色全息图像存储的超分子金属组装体,为多色全息图像存储提供了新的物质基础并拓展了超分子金属组装体的新功能(J. Am. Chem. Soc., 2020, 142, 6285)。

图2. 液晶金属大环应用于多色全息图像存储
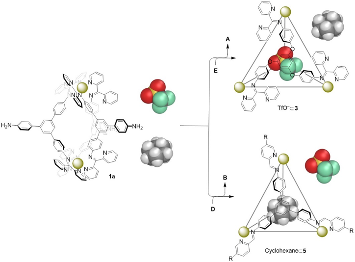
最近,徐林教授课题组将研究对象从二维超分子金属大环拓展到三维超分子金属笼。通过模仿生命体系中pH对生理功能的调控,利用配位键导向自组装策略,构筑了一系列具有酸碱刺激响应性的超分子金属笼,该类金属笼的结构均通过单晶X-射线衍射进行了确证(图3)。

图3. 含二吡啶基酮超分子金属笼的结构及其主客体复合物晶体结构
与以往报道的通常将吡啶甲醛作为超分子金属笼的核心组装基元不同,该研究首次引入二吡啶基酮作为超分子金属笼的核心组装基元。有趣的是,二吡啶基酮的两个相同吡啶基元在目标超分子金属笼中扮演着不同的角色,一个参与组装配位,而另一个则调控目标超分子金属笼的主客体性质、稳定性以及酸碱响应性。基于此,成功实现了酸碱刺激下超分子金属笼之间重要阴离子的可控运输与可控交换(图4)。该类新型超分子金属笼有望实现生命体系中药物分子的靶向递送和可控释放(Angew. Chem. Int. Ed., 2020, 59, 7435)。

图4. 酸碱刺激下超分子金属笼之间阴离子的(a)可控运输与(b)可控交换
进一步,徐林教授课题组实现了结构更复杂的超分子金属笼网络库的构筑。从含有二吡啶基酮的超分子螺旋体出发,基于组装基元亲核性的差异,通过加入不同的组装基元,实现了八种超分子金属笼的可控转化,包括超分子螺旋体到超分子螺旋体的转化、超分子螺旋体到超分子四面体的转化、超分子四面体到超分子四面体的转化以及超分子四面体到超分子棱柱体的转化(图5)。值得注意的是,在该系列超分子金属笼的可控转化过程中,意外得到了结构特异的超分子螺旋棱柱体。这些超分子螺旋体、超分子四面体以及超分子棱柱体也都通过单晶X-射线衍射进行了结构验证。

图5. 复杂超分子金属笼间的可控转化及部分代表性超分子金属笼的晶体结构
利用该类超分子金属笼之间的可控转化,课题组成功实现了有害有机小分子的选择性可控吸附和分离(图6)(J. Am. Chem. Soc., 2020, DOI: 10.1021/jacs.0c03798)。

图6. 超分子金属笼可控转化实现有机小分子的选择性吸附和分离
上述研究工作分别与华中科技大学彭海炎副教授课题组和英国剑桥大学Jonathan Nitschke教授课题组合作完成,并得到了华东师大化学与分子工程学院杨海波教授的悉心指导。部分理论计算和质谱表征分别得到了华东师大精密光谱国家重点实验室孙海涛研究员以及美国南佛罗里达大学李霄鹏副教授的支持与帮助。研究工作得到了国家自然科学基金委优秀青年基金、上海市科委浦江人才计划以及3245澳门新莆京紫江优秀青年学者基金等项目资助。
徐林教授是我校杨海波教授领衔的超分子化学团队重要研究骨干,长期从事复杂体系精准组装领域的研究。在前期的研究工作中,徐林教授在国际上率先通过荧光共振能量转移技术实现了配位组装过程和机理的原位监测和研究,解决了超分子配位组装过程和机理难以实时监测的难题(J. Am. Chem. Soc., 2017, 139, 9459);在深入理解配位组装过程和机理的基础上,发展了限域配位自组装新策略(J. Am. Chem. Soc., 2018, 140, 5049);利用所发展的组装新策略,课题组实现了组装体的可控功能化(Nat. Commun., 2018, 9, 3190;Nat. Commun., 2019, 10, 4285)。
图文、来源|化学与分子工程学院 主页大图设计|陈睿多 编辑|汪怡佳 编审|吕安琪