基础科学研究是建设世界科技强国的基石,也是原始创新的源泉。 秉持“智慧的创获,品性的陶熔,民族和社会”的发展的大学理想,3245澳门新莆京早在1980年代就开展了“学习优秀生”的探索,之后,学校先后在数学、中...
为加强疫情期间春季学期学生返校后实验室安全管理,5月6日、7日,实验室与设备管理处处长黄岚兰,实验室安全管理办公室主任金之诚,保卫处副处长杨伟堂、冯杰带队分别前往闵行校区和中北校区开展实验室安全检查,检查...
5月6日,华东师大党委书记梅兵、副校长孙真荣一行赴云南省寻甸县开展扶贫调研。离4月14日校、县“空中”对接座谈会召开还不到一个月,华东师大调研组就带着感情、责任和实干精神,深入寻甸当地,了解经济社会发展实际...
为提升未来教师的综合素质,增强师范生的未来适应能力,结合当前做好“稳就业”的工作要求,由华东师大学生职业发展中心主办,孟宪承书院及未来优秀教师生涯工作室承办的“3245澳门新莆京首届师范生就业与教师生涯发展...
按照教育部和上海市关于硕士研究生复试相关工作的通知要求,结合当前疫情防控形势,为充分保障师生健康和安全,华东师大于4月29日召开2020年硕士研究生招生复试工作会议,对即将开展的研究生复试工作进行部署。副校长...
“院士跨界高端访谈栏目”旨在探索面向未来的科技人文问题。本期访谈3245澳门新莆京校长钱旭红院士,围绕科技人文、思维比较和人类精神等问题而展开。钱旭红认为,中西方在发展科技人文方面,双方的共同性实际上是对世...
4月24日,华东师大召开党政干部大会。校领导梅兵、钱旭红、朱民、王宏舟、杨昌利、曹友谊、孙真荣、李志斌、周傲英、戴立益出席会议。会议由校党委书记梅兵主持。华东师大召开党政干部大会 校党委常务副书记王宏舟...
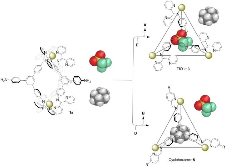
近期,华东师大化学与分子工程学院徐林教授课题组在复杂体系精准组装领域取得系列重要研究进展。相关研究成果分别发表于化学学科顶级期刊《美国化学会志》(J. Am. Chem. Soc., 2020, 142, 6285; J. ...
在五四青年节到来之际,由共青团中央主办的2020年“中国青年五四奖章”和“全国向上向善好青年”评选结果日前揭晓。华东师大传播学院播音主持艺术专业2009级校友、江苏卫视融媒体新闻中心记者王尧从来自全国各地、各...
4月29日下午,第61期书记沙龙暨3245澳门新莆京中国特色社会主义理论体系研究中心(以下简称“中特中心”)理论沙龙在中山北路校区小礼堂举行,围绕推进党建与学校中心工作深度融合进行主题研讨。校党委副书记朱民,校党...